Flavonoids

Common Names: Citrus Bioflavonoids, Green Tea Polyphenols, Hesperidin, Proanthocyanidins, Quercitin, Rutin

Clinical Name: Flavonoids

Summary

Flavonoids

forms/synonyms: Bilberry (Vaccinum myrtilus), catechin, citrus bioflavonoids, green tea polyphenols, hesperidin, proanthocyanidins, quercitin, and rutin.

chemical name: Over 4000 flavonoid compounds have been characterized and classified, including catechin, epicatechin, epicatechin gallate, hydroxyethylrutosides (HER), naringin, procyanidolic oligomers, and quercitrin.

overview of interactions:
• nutrients affecting drug performance: Chemotherapy

• nutrients affecting drug performance: Corticosteroids including Prednisone

• Flavonoid treatment, such as Hesperidine affecting drug toxicity: Docetaxel

dietary sources: Citrus fruits, berries, onions, parsley, legumes, green tea, and red wine. More specifically, anthocyanins are found in wine and bilberry, flavans are found in apples and tea, flavanones are found in citrus, and isoflavones are found in soy products. Average intake in the U.S. is approximately 150-200 mg per day.

deficiency: Flavonoids have sometimes been designated as "semi-essential." Flavonoid deficiencies were first noted in the 1930's when Albert Szent-Gyorgyi discovered that a crude form of vitamin C which contained a flavonoid fraction worked better for treating bleeding gums than did a more refined form of vitamin C.

known or potential therapeutic uses:
• General: Bruising, cardiovascular protection, menorrhagia (heavy menstruation), musculoskeletal injuries.
• Bilberry (Vaccinum myrtilus): Atherosclerosis, cataracts, diabetes, gingivitis (periodontal disease), macular degeneration, night blindness, retinopathy, varicose veins.
• Catechin: Hepatitis.
• Green Tea Polyphenols: Antioxidant, cancer prevention and treatment.
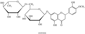
• Hesperidin: Capillary fragility, chronic venous insufficiency, menopause, seasonal allergies (hay fever).
• Proanthocyanidins: Capillary fragility, diabetic retinopathy, macular degeneration, venous insufficiency, varicose veins.
• Quercetin: Atherosclerosis, asthma, cancer, capillary fragility, cataracts, diabetes, edema, high cholesterol, peptic ulcer, rheumatoid arthritis, seasonal allergies (hay fever), SLE (lupus).
• Rutin: Capillary fragility, easy bruising, chronic venous insufficiency, edema, epistaxis (nose bleeds), glaucoma, musculoskeletal injuries, seasonal allergies (hay fever), varicose veins.

mechanism: Flavonoids have been called "biological response modifiers" due to their ability to modify the body's reactions to various stressors such as allergens, carcinogens and viruses. Hence they have been described as having anti-inflammatory, anti-allergic, anticarcinogenic, antioxidant, and antiviral properties. Flavonoids provide potent protection against oxidative and free radical damage.

maintenance dose: Supplemental sources are usually not necessary for individuals eating a healthy, well-balanced diet. Optimal levels of intake have not been established.

therapeutic dose: The therapeutic dosage of flavonoids depends on the condition(s) being treated, the preventive effects desired, the particular flavonoid(s) being used, and, of course, the patient. For example, a typical therapeutic dosage of citrus bioflavonoids is in the range of 1000-1200 mg per day, while quercitin is often used in doses of 400 mg, three times daily.
As noted above, citrus bioflavonoids improve the absorption of vitamin C, while all bioflavonoids exert a protective action upon vitamin C.

side effects: Proanthocyanidins are considered extremely safe, and no side effects have been reported. While some initial in vitro animal research provoked concern that quercitin might induce certain forms of cancer, subsequent research has vindicated quercitin and found that they are well-tolerated in large doses for extended periods of time. Quercitin and other flavonoids, in fact, have been found to exert a distinct protective effect against cancer and many are considered to have a potential therapeutic role in the treatment of some forms of cancer. Citrus bioflavonoids, rutin, hesperidin, and HER are generally considered extremely safe and free of adverse side effects, even during pregnancy. The only significant adverse side effect associated with green tea is that attributable to caffeine, particularly if it has been steeped for too long.

toxicity: No toxicities have been reported or suspected as being associated with the commonly used flavonoids. Cianidanol is an exception to the general principle of safety with flavonoids; it has some known toxicities, but is not found in supplemental sources.

contraindications: None known to date.



Interactions

nutrients affecting drug performance: Chemotherapy

research: Several in vitro studies have shown that a variety of flavonoids increase the radiosensitivity. Quercitin, green tea and genistein have all been found to increase the concentration of chemotherapeutic agents in some cell resistant cell lines. In vivo research has demonstrated that quercitin can increase the anti-tumor activity of cisplatin and busulfan and can be used in conjunction with doxorubicin and etoposide without interfering with their therapeutic action. Several flavonoids appear to reduce tamoxifen activity, most specifically by tangeretin (in vivo tests) and by genistein (in vitro tests).
(Bracke ME, et al. J Natl Cancer Inst. 1999 Feb 17;91(4):354-359; Sadzuka Y, Sugiyama T. Clin Cancer Res. 1998 Jan;4(1):153-156; Versantvoort CH, et al. Br J Cancer. 1993 Nov;68(5):939-946; Marverti G, et al. Clin Cancer Res. 1996 Jun;2(6):991-999; Lamson DW, Brignall MS. Altern Med Rev. 1999;4:304-329.)

nutrients affecting drug performance: Corticosteroids including Prednisone

• interactions: Naringenin, quercetin and kaempferol, which may be found in glycoside form in natural compounds such as grapefruit, are potent inhibitors of cytochrome P-450 metabolism. Inhibition of cytochrome P-450 activity in the blood contributes to sustaining blood levels of corticosteroids. Moderate amounts of flavonoids, such as quercetin, can also be found in apples, onions and tea, with smaller amounts available in leafy green vegetables and beans.
(Schubert W, et al. Eur J Drug Metab Pharmacokinet 1995 Jul-Sep;20(3):219-224.)

The enzyme 11 beta-hydroxysteroid dehydrogenase (11 beta-OHSD) oxidizes cortisol to inactive cortisone. Its absence or inhibition increases cortisol levels at the mineralocorticoid receptor, causing mineralocorticoid effects. This mineralocorticoid action of cortisol causes a drop in serum potassium and an increase in serum sodium concentration, together with a metabolic alkalosis, which can lead to water retention, weight gain, and an increased risk of hypertension. Dietary flavonoids, such as found in grapefruit juice, can inhibit this enzyme and at high doses may cause an apparent mineralocorticoid effect.
(Lee YS, et al. Clin Pharmacol Ther 1996 Jan;59(1):62-71.)

Flavonoid treatment, such as Hesperidine affecting drug toxicity: Docetaxel

• research: Fluid retention is a phenomenon associated with taxoids such as docetaxel. In a clinical trial Behar et al provided patients with what they described as "symptomatic flavonoid treatment," in the form of micronized diosmine hesperidine, typically after the last cycle of docetaxel. Specific investigations for fluid retention confirmed a relationship between cumulative docetaxel dose and development of fluid retention. After treating 18 of 24 patients in this manner they concluded that a vascular protector such as micronized diosmine hesperidine with recommended corticosteroid premedication and benzopyrones may be useful in preventing and treating docetaxel-induced fluid retention.
(Behar A, et al. Br J Clin Pharmacol 1997 Jun;43(6):653-658.)


Please read the disclaimer concerning the intent and limitations of the information provided here.
Do not rely solely on the information in this article.

The information presented in Interactions is for informational and educational purposes only. It is based on scientific studies (human, animal, or in vitro), clinical experience, case reports, and/or traditional usage with sources as cited in each topic. The results reported may not necessarily occur in all individuals and different individuals with the same medical conditions with the same symptoms will often require differing treatments. For many of the conditions discussed, treatment with conventional medical therapies, including prescription drugs or over-the-counter medications, is also available. Consult your physician, an appropriately trained healthcare practitioner, and/or pharmacist for any health concern or medical problem before using any herbal products or nutritional supplements or before making any changes in prescribed medications and/or before attempting to independently treat a medical condition using supplements, herbs, remedies, or other forms of self-care.



References

Aeschbacher H-U, Meier H, Ruch E. Nonmutagenicity in vivo of the food flavonol quercetin. Nutr Cancer 1982;2:90.

Behar A, Pujade-Lauraine E, Maurel A, Brun MD, Chauvin FF, Feuilhade de Chauvin F, Oulid-Aissa D, Hille D. The pathophysiological mechanism of fluid retention in advanced cancer patients treated with docetaxel, but not receiving corticosteroid comedication. Br J Clin Pharmacol 1997 Jun;43(6):653-658.
Abstract: AIMS: Fluid retention is a phenomenon associated with taxoids. The principal objective of this study was to investigate the pathophysiological mechanism of docetaxel-induced fluid retention in advanced cancer patients. METHODS: Docetaxel was administered as a 1 h intravenous infusion every 3 weeks, for at least 4-6 consecutive cycles, to patients with advanced breast (n = 21) or ovarian (n = 3) carcinoma, who had received previous chemotherapy, 21 for advanced disease. Phase II clinical trials have shown that 5 day corticosteroid comedication, starting 1 day before docetaxel infusion, significantly reduces the incidence and severity of fluid retention. This prophylactic corticosteroid regimen is currently recommended for patients receiving docetaxel but was not permitted in this study because of its possible interference with the underlying pathophysiology of the fluid retention. RESULTS: Fluid retention occurred in 21 of the 24 patients but was mainly mild to moderate, with only five patients experiencing severe fluid retention. Eighteen patients received symptomatic flavonoid treatment, commonly prescribed after the last cycle. Specific investigations for fluid retention confirmed a relationship between cumulative docetaxel dose and development of fluid retention. Capillary filtration test analysis showed a two-step process for fluid retention generation, with progressive congestion of the interstitial space by proteins and water starting between the second and the fourth cycle, followed by insufficient lymphatic drainage. CONCLUSIONS: A vascular protector such as micronized diosmine hesperidine with recommended corticosteroid premedication and benzopyrones may be useful in preventing and treating docetaxel-induced fluid retention.

Bracke ME, Depypere HT, Boterberg T, Van Marck VL, Vennekens KM, Vanluchene E, Nuytinck M, Serreyn R, Mareel MM. Influence of tangeretin on tamoxifen's therapeutic benefit in mammary cancer. J Natl Cancer Inst. 1999 Feb 17;91(4):354-359.
Abstract: BACKGROUND: Tamoxifen and the citrus flavonoid tangeretin exhibit similar inhibitory effects on the growth and invasive properties of human mammary cancer cells in vitro; furthermore, the two agents have displayed additive effects in vitro. In this study, we examined whether tangeretin would enhance tamoxifen's therapeutic benefit in vivo. METHODS: Female nude mice (n = 80) were inoculated subcutaneously with human MCF-7/6 mammary adenocarcinoma cells. Groups of 20 mice were treated orally by adding the following substances to their drinking water: tamoxifen (3 x 10(-5) M), tangeretin (1 x 10(-4) M), tamoxifen plus tangeretin (3 x 10(-5) M plus 1 x 10(-4) M), or solvent. RESULTS AND CONCLUSIONS: Oral treatment of mice with tamoxifen resulted in a statistically significant inhibition of tumor growth compared with solvent treatment (two-sided P = .001). Treatment with tangeretin did not inhibit tumor growth, and addition of this compound to drinking water with tamoxifen completely neutralized tamoxifen's inhibitory effect. The median survival time of tumor-bearing mice treated with tamoxifen plus tangeretin was reduced in comparison with that of mice treated with tamoxifen alone (14 versus 56 weeks; two-sided P = .002). Tangeretin (1 x 10(-6) M or higher) inhibited the cytolytic effect of murine natural killer cells on MCF-7/6 cells in vitro, which may explain why tamoxifen-induced inhibition of tumor growth in mice is abolished when tangeretin is present in drinking water. IMPLICATIONS: We describe an in vivo model to study potential interference of dietary compounds, such as flavonoids, with tamoxifen, which could lead to reduced efficacy of adjuvant therapy. In our study, the tumor growth-inhibiting effect of oral tamoxifen was reversed upon addition of tangeretin to the diet. Our data argue against excessive consumption of tangeretin-added products and supplements by patients with mammary cancer during tamoxifen treatment.

Bushman JL. Green tea and cancer in humans: a review of the literature. Nutr Cancer. 1998;31(3):151-159. (Review)
Abstract: Researchers have investigated green tea as a potential protectant against cancer. This review focuses on studies of green tea in humans. Green tea contains polyphenols, chemicals that act as powerful antioxidants. Epidemiological and human studies have shown varying results. Thirty-one human studies and four reviews were examined. Among five studies reporting on colon cancer, three found an inverse association and one reported a positive association. For rectal cancer, only one of four studies reported an inverse association; increased risks were seen in two of the studies. An inverse association is suggested for urinary bladder cancer in two of two studies. Of 10 studies examining the association of green tea and stomach cancer, 6 suggest an inverse and 3 a positive association. The most comprehensive of these studies supports an inverse association of green tea and stomach cancer. Pancreatic cancer studies hint at an inverse association in two of three studies. A strong inverse effect was found with green tea and esophageal cancer. Lung cancer studies have shown an inverse effect with Okinawan tea, yet tentatively increased risk was shown in another study. Although human studies have their limitations, the research has warranted a further look into the effects of green tea and cancer.

Critchfield JW, Welsh CJ, Phang JM, Yeh GC. Modulation of adriamycin accumulation and efflux by flavonoids in HCT-15 colon cells. Activation of P-glycoprotein as a putative mechanism. Biochem Pharmacol. 1994 Oct 7;48(7):1437-1445.
Abstract: Since P-glycoprotein (P-gp) in normal tissues may serve as a cellular defense mechanism against naturally occurring xenobiotics, we considered whether physiologically active components of commonly ingested plant foods could influence P-gp function. To examine this possibility, a series of flavonoids commonly found in plant foods was tested for their ability to modulate [14C]Adriamycin ([14C]ADR) accumulation and efflux in P-gp-expressing HCT-15 colon cells. Many flavonoids, in the micromolar range, inhibited the accumulation of [14C]ADR. Detailed experiments utilizing flavonoids with the greatest activity in reducing [14C]ADR accumulation, i.e. galangin, kaempferol, and quercetin, revealed that the efflux of [14C]ADR is increased markedly in the presence of these compounds. Flavonoid-induced stimulation of efflux was rapid and was blocked by the multidrug-resistant (MDR) reversal agents verapamil, vinblastine, and quinidine. The magnitude of flavonoid-stimulated efflux in sodium butyrate-treated cells with a 4-fold induction of P-gp protein was similar to that in uninduced cells. [3H]Azidopine photoaffinity labeling of P-gp in crude membrane preparations revealed mild to no competition for binding by flavonoids possessing either activity or inactivity in reducing ADR accumulation. Although flavonoid hydrophobicity was found to be unrelated to flavonoid activity in altering [14C]ADR accumulation, certain structural features were associated with enhancement or diminution of activity. Finally, the significance of flavonoid-related reduction of [14C]ADR accumulation was underscored in cell growth studies, showing partial protection by quercetin against ADR-induced growth inhibition. It is concluded that certain naturally occurring plant flavonoids may acutely upregulate the apparent activity of P-gp.

de Vries JH, Janssen PL, Hollman PC, van Staveren WA, Katan MB. Consumption of quercetin and kaempferol in free-living subjects eating a variety of diets. Cancer Lett. 1997 Mar 19;114(1-2):141-144.
Abstract: Quercetin and related flavonoids are anticarcinogenic in rats, but little is known about human intakes. The intake of five major flavonols and flavones was calculated using 1-day dietary records of 17 volunteers from 14 countries, and using both 3-day records and a food frequency questionnaire of eight Dutch adults. Total consumption (+/- SD) was 27.6 +/- 19.5 mg/day in the international subjects, 34.1 +/- 31.2 mg/day in the Dutch adults according to 3-day records, and 41.9 +/- 23.7 mg/day according to questionnaires. Quercetin contributed 68-73%, and kaempferol 22-29%, the major sources being tea and onions. A brief food frequency questionnaire may be a suitable method for ranking individuals by flavonol intake.

Fritz-Niggli H, Rao KR. Rutosides and radiation induced regression of experimental tumours. Arzneimittelforschung. 1977;27(5):1057-1064.
Abstract: The effect of some flavonoids like O-(beta-hydro-xyethyl)-rutoside, alone and in combination with X-rays, was investigated on three transplantable mouse tumours. The growth characteristics of the tumours depending on the sex of the host animal and the application of flavonoids are described. Under the different experimental conditions exployed involving 1500 mice, flavonoids did not alter the radiation effect on the tumours as neither a protective nor a sensitizing effect was observed.

Hertog M, Feskens EJM, Hollman PCH, et al. Dietary flavonoids and cancer risk in the Zutphen Elderly Study. Nutr Cancer 1994;22:175-184.

Hertog MG. Epidemiological evidence on potential health properties of flavonoids. Proc Nutr Soc. 1996 Mar;55(1B):385-397. (Review)

Hertog MG, Hollman PC. Potential health effects of the dietary flavonol quercetin. Eur J Clin Nutr. 1996 Feb;50(2):63-71. (Review)

Hirono I, Ueno I, Hosaka S, Takanashi H, et al. Carcinogenicity examination of quercetin and rutin in ACI rats. Cancer Lett 1981;13:15-21.

Hofmann J, Fiebig HH, Winterhalter BR, Berger DP, Grunicke H. Enhancement of the antiproliferative activity of cis-diamminedichloroplatinum(II) by quercetin. Int J Cancer. 1990 Mar 15;45(3):536-539.
Abstract: We have shown previously that the flavonoid quercetin (3,3',4',5,7-pentahydroxyflavone) enhances the antiproliferative activity of cis-diamminedichloroplatinum(II) (cis-DDP) in vitro. In order to investigate whether this observation could be exploited in cancer treatment, we tested this drug combination in human tumor xenografts. The established human large-cell cancer of the lung (LXFL 529) was implanted s.c. into nude mice. Tumors were allowed to grow to a mean diameter of approximately 5 mm and the animals were subsequently treated intraperitoneally with quercetin, cis-DDP or a combination of both. Treatment was given 3 times at 3-day intervals. Twenty milligrams quercetin per kg body weight caused no inhibition in tumor growth compared to untreated controls; 3 mg cis-DDP per kg body weight with the same time schedule reduced tumor growth, compared to quercetin-treated and control animals. Concomitant treatment with 20 mg quercetin and 3 mg cis-DDP per kg body weight reduced tumor growth to a significantly greater degree than cis-DDP alone. Toxicity of this treatment was relatively low as determined by measurements of the body weight of the mice. A combination of 4 mg or 5 mg cis-DDP with 20 mg quercetin per kg body weight also reduced tumor growth compared to single cis-DDP treatment. The toxicity of treatment with these increased doses was high, as shown by the high lethality and the loss of body weight of surviving animals.

Hollman PC, Katan MB. Absorption, metabolism and health effects of dietary flavonoids in man. Biomed Pharmacother. 1997;51(8):305-310.
Abstract: Flavonoids are polyphenolic compounds that occur ubiquitously in foods of plant origin. Over 4,000 different flavonoids have been described, and they are categorized into flavonols, flavones, catechins, flavanones, anthocyanidins and isoflavonoids. Flavonoids have a variety of biological effects in numerous mammalian cell systems, in vitro as well in vivo. Recently, much attention has been paid to their antioxidant properties and to their inhibitory role in various stages of tumour development in animal studies. Quercetin, the major representative of the flavonol subclass, is a strong antioxidant, and prevents oxidation of low density lipoproteins in vitro. Oxidized low density lipoproteins are atherogenic, and are considered to be a crucial intermediate in the formation of atherosclerotic plaques. This agrees with observations in epidemiological studies that the intake of flavonols and flavones was inversely associated with subsequent coronary heart disease. However, no effects of flavonols on cancer were found in these studies. The extent of absorption of flavonoids is an important unsolved problem in judging their many alleged health effects. Flavonoids present in foods were considered non-absorbable because they are bound to sugars as beta-glycosides. Only free flavonoids without a sugar molecule, the so-called aglycones, were thought to be able to pass through the gut wall. Hydrolysis only occurs in the colon by microorganisms, which at the same time degrade flavonoids. We performed a study to quantify absorption of various dietary forms of quercetin. To our surprise, the quercetin glycosides from onions were absorbed far better than the pure aglycone. Subsequent pharmacokinetic studies with dietary quercetin glycosides showed marked differences in absorption rate and bioavailability. Absorbed quercetin was eliminated only slowly from the blood. The metabolism of flavonoids has been studied frequently in various animals, but very few data in humans are available. Two major sites of flavonoid metabolism are the liver and the colonic flora. There is evidence for O-methylation, sulphation and glucuronidation of hydroxyl groups in the liver. Bacterial ring fission of flavonoids occurs in the colon. The subsequent degradation products, phenolic acids, can be absorbed and are found in urine of animals. Quantitative data on metabolism are scarce.

Hollman PC, Katan MB. Dietary flavonoids: intake, health effects and bioavailability. Food Chem Toxicol. 1999 Sep-Oct;37(9-10):937-942.
Abstract: Flavonoids are polyphenolic compounds that occur ubiquitously in foods of plant origin. Over 4000 different flavonoids have been described. They may have beneficial health effects because of their antioxidant properties and their inhibitory role in various stages of tumour development in animal studies. An estimation of the total flavonoid intake is difficult, because only limited data on food contents are available. It is estimated that humans ingest a few hundreds of milligram per day. The average intake of the subclasses of flavonols and flavones in The Netherlands was 23 mg/day. The intake of flavonols and flavones was inversely associated with subsequent coronary heart disease in most but not all prospective epidemiological studies. A protective effect of flavonols on cancer was found in only one prospective study. Flavonoids present in foods were considered non-absorbable because they are bound to sugars as beta-glycosides. However, we found that human absorption of the quercetin glycosides from onions (52%) is far better than that of the pure aglycone (24%). Flavonol glycosides might contribute to the antioxidant defences of blood. Dietary flavonols and flavones probably do not explain the cancer-protective effect of vegetables and fruits; a protective effect against cardiovascular disease is not conclusive.

Hollman PC, Hertog MG, Katan MB. Role of dietary flavonoids in protection against cancer and coronary heart disease. Biochem Soc Trans. 1996 Aug;24(3):785-789. (Review)

Hollman PC, Feskens EJ, Katan MB. Tea flavonols in cardiovascular disease and cancer epidemiology. Proc Soc Exp Biol Med. 1999 Apr;220(4):198-202. (Review)
Abstract: Tea is an important dietary source of flavonols in countries such as the Netherlands, the United Kingdom and Japan. Flavonols may have beneficial health effects because of their antioxidant properties and their inhibitory role in various stages of tumor development in animal studies. The association between flavonol intake and cancer risk was investigated in three prospective studies (Zutphen Elderly Study in the Netherlands, a Finnish cohort, and the Netherlands Cohort Study). Only one study (Finnish cohort) showed an inverse association with cancer mortality. The intake of flavonols with subsequent cardiovascular disease was studied in six prospective epidemiological studies. In some populations (Seven Countries Study, Zutphen Elderly Study, a Finnish cohort) a clear protective effect was observed. In a large US cohort, a protective effect was only found in a subgroup with previous history of coronary heart disease, whereas in Welsh men, flavonol intake, mainly from tea, was associated with an increased risk of coronary heart disease. These conflicting results may be due to confounding by coronary risk factors associated with tea consumption. The question of whether flavonols protect against cardiovascular disease remains still open; a protective effect of flavonols against cancer is less likely.

Holt GA. Food and Drug Interactions. Chicago: Precept Press, 1998.

Knekt P, Jävinen R, Seppänen R, et al. Dietary flavonoids and the risk of lung cancer and other malignant neoplasms. Am J Epidemiol 1997;146:223-230.

Kuo SM. Antiproliferative potency of structurally distinct dietary flavonoids on human colon cancer cells. Cancer Lett 1996;110:41-48.

Lamson DW, Brignall MS. Antioxidants in cancer therapy; their actions and interactions with oncologic therapies. Altern Med Rev. 1999;4:304-329. (Review)

Lee YS, Lorenzo BJ, Koufis T, Reidenberg MM. Grapefruit juice and its flavonoids inhibit 11 beta-hydroxysteroid dehydrogenase. Clin Pharmacol Ther 1996 Jan;59(1):62-71.
Abstract: INTRODUCTION: The enzyme 11 beta-hydroxysteroid dehydrogenase (11 beta-OHSD) oxidizes cortisol to inactive cortisone. Its congenital absence or inhibition by licorice increases cortisol levels at the mineralocorticoid receptor, causing mineralocorticoid effects. We tested the hypothesis that flavonoids found in grapefruit juice inhibit this enzyme in vitro and that grapefruit juice itself inhibits it in vivo. METHODS: Microsomes from guinea pig kidney cortex were incubated with cortisol and nicotinamide adenine dinucleotide (NAD) or nicotinamide adenine dinucleotide phosphate (NADP) and different flavonoids and the oxidation to cortisone measured with use of HPLC analysis. In addition, healthy human volunteers drank grapefruit juice, and the ratio of cortisone to cortisol in their urine was measured by HPLC and used as an index of endogenous enzyme activity. RESULTS: Both forms of 11 beta-OHSD requiring either NAD or NADP were inhibited in a concentration-dependent manner by the flavonoids in grapefruit juice. Normal men who drank grapefruit juice had a fall in their urinary cortisone/cortisol ratio, suggesting in vivo inhibition of the enzyme. CONCLUSION: Dietary flavonoids can inhibit this enzyme and, at high doses, may cause an apparent mineralocorticoid effect.

Lian F, Li Y, Bhuiyan M, Sarkar FH. p53-independent apoptosis induced by genistein in lung cancer cells. Nutr Cancer. 1999;33(2):125-131.
Abstract: Lung cancer is the leading cause of cancer-related deaths in the world, with increasing incidence in many developed countries. Epidemiological data suggest that consumption of soy products may be associated with a decreased risk of cancer. Despite the association of nutrition and cancer, the molecular mechanisms by which the active metabolite in the soy diet, genistein, exerts its biological response have not been studied. We previously showed that genistein can inhibit the growth of H460 non-small-cell lung cancer (NSCLC) cells in vitro. To explore the molecular mechanisms by which genistein inhibits the growth of NSCLC cells, we investigated cell growth inhibition, modulation in gene expression, and induction of apoptosis by genistein in H460 cells, which harbor wild-type p53, and H322 cells, which possess mutated p53. Genistein was found to inhibit H460 and H322 cell growth in a dose-dependent manner. Staining with 4,6-diamidino-2-phenylindole, poly(ADP-ribose) polymerase cleavage, and flow cytometric apoptosis analysis were used to investigate apoptotic cell death, and the results show that 30 microM genistein causes cell death via a typical apoptotic pathway. Western blot analysis demonstrated upregulations of p21WAF1 and Bax by genistein in wild-type and mutant p53 cell lines. Furthermore, cells treated with genistein showed an increased expression of endogenous wild-type p53, while the level of the mutant p53 protein remained unchanged. From these results, we conclude that genistein induces apoptosis in NSCLC cells through a p53-independent pathway and, thus, may act as an anticancer agent.

Lian F, Bhuiyan M, Li YW, Wall N, Kraut M, Sarkar FH. Genistein-induced G2-M arrest, p21WAF1 upregulation, and apoptosis in a non-small-cell lung cancer cell line. Nutr Cancer. 1998;31(3):184-191.
Abstract: Lung cancer is the leading cause of cancer-related death in the world, with increasing incidence in many developed countries. Epidemiological data suggest that consumption of soy products (the isoflavone genistein) may be associated with a decreased risk of breast and prostate cancer; however, such studies are not available for lung cancer. We investigated cell growth inhibition, modulation in gene expression, and induction of apoptosis by genistein in H460 non-small lung cancer cells. Genistein inhibited H460 cell growth in a dose-dependent manner. Flow-cytometric analysis showed that 30 microM genistein arrested cell cycle progression at the G2-M phase. 4,6-Diamidino-2-phenylindole staining, flow-cytometric analysis, and DNA laddering were used to investigate apoptotic cell death, and the results show that 30 microM genistein can cause typical DNA laddering, a hallmark for apoptosis. In addition, flow cytometry and 4,6-diamidino-2-phenylindole staining showed induction of apoptosis by genistein. Our investigation also demonstrated the modulation of p21WAF1 by Western blot analysis of cell lysates obtained from cultured cells treated with 30 and 50 microM genistein for 24, 48, and 72 hours. Simultaneously, immunocytochemical staining was conducted for the expression of p21WAF1 protein. Our results showed that genistein can upregulate p21WAF1 expression in genistein-treated cells. From these results, we conclude that genistein may act as an anticancer agent, and further studies may prove its efficacy in non-small lung cancer cells. Thus the biological effects of genistein may, indeed, be due to the modulation of cell growth, cell death, and cell cycle regulatory molecules.

Marverti G, Andrews PA. Stimulation of cis-diamminedichloroplatinum(II) accumulation by modulation of passive permeability with genistein: an altered response in accumulation-defective resistant cells. Clin Cancer Res. 1996 Jun;2(6):991-999.
Abstract: The effect of the tyrosine kinase inhibitor genistein on the accumulation of cisplatin (DDP) was investigated in DDP-sensitive and -resistant human 2008 ovarian carcinoma cell lines. DDP accumulation after a 1-h exposure was maximally increased by concurrent 40 micrometer genistein. The maximal stimulation of accumulation was observed after 2 h of total genistein exposure and was 83 +/- 13% (n = 5) higher than controls. With resistant C13(*) cells, however, the stimulation of accumulation was delayed until 4 h and was increased only 46 +/- 18% compared to controls. Revertant RH4 cells that retained the accumulation defect behaved like the C13(*) cells. Genistein stimulated [3H]mannitol accumulation (a marker of passive permeability) by 43 +/- 9% (n = 3) in 2008 cells, and the effect was maximal after 2 h of total genistein exposure. Changes in [3H]mannitol accumulation in 2008 parent cells were highly correlated with DDP accumulation (r = 0.9010). These experiments also revealed that [3H]mannitol accumulation after 2 h in C13(*) cells was reduced 38% compared to 2008 cells, a decrease that reflected the DDP accumulation defect. Fluid-phase pinocytosis determined with lucifer yellow CH as a marker showed no difference between 2008 and C13(*) cells and no effect of genistein. Genistein was demonstrated to clearly inhibit protein-tyrosine phosphorylation initiated by the epidermal growth factor receptor kinase. Differences were noted in the phosphotyrosine pattern between the 2008 and C13(*) cells. Under the conditions that had the maximal effect on DDP accumulation in 2008 cells, genistein decreased the IC50 of DDP 8.2-fold in 2008 cells and 4.7-fold in C13(*) cells. We conclude that: (a) genistein stimulates DDP accumulation by modulating the passive permeability of the plasma membrane; (b) C13(*) cells are less permeable to passively diffusing small molecules, which offers a mechanism for the DDP accumulation defect without invoking carrier proteins; (c) the effect of tyrosine kinase inhibition on passive permeability is altered in C13(*) cells; and (d) pinocytosis contributes insignificantly to DDP accumulation. Genistein, a dietary isoflavone, thus seems to be a promising clinical candidate for combination with DDP.

Nishino H, Nishino A, Iwashima A, et al. Quercetin inhibits the action of 12-O-tetradecanoylphorbol-13-acetate, a tumor promoter. Oncology 1984;41:120-123.

Pamukcu AM, Yalciner S, Hatcher JF, Bryan GT. Quercetin, a rat intestinal and bladder carcinogen present in bracken fern (Pteridium aquilinum). Cancer Res 1980 Oct;40(10):3468-3472.

Peterson J, Dwyer J. Taxonomic classification helps identify flavonoid-containing foods on a semiquantitative food frequency questionnaire. J Am Diet Assoc. 1998 Jun;98(6):677-82, 685.
Abstract: We describe foods on the National Cancer Institute (NCI) semiquantitative food frequency questionnaire with respect to their botanical taxonomic classification and the likely presence of flavonoids. Foods listed in the NCI questionnaire were classified for potential flavonoid content using information from Linnaean taxonomic classification and processing techniques known to modify flavonoid content. The outcome measure was flavonoid presence in foods as evidenced in the food composition analytical literature. We then verified the presence of 6 classes of flavonoids in these foods by searching the chemical analytical literature (represented by Food Science and Technology Abstracts Service from January 1969 to June 1996). One hundred ninety foods were mentioned on the NCI questionnaire; after duplications were removed, 153 foods remained. Data obtained from literature searches indicated that 54 foods (35%) contained flavonoids. An additional 19 recipe foods (12%) had flavonoid-containing components or ingredients. Thirty-nine foods (25%) had flavonoids that had been reduced or removed during milling and other processing. Seven foods (5%) were stripped and judged to have no flavonoids. Thirty-four foods (22%), for example, dairy, meat, and sugar, were completely devoid of flavonoids. When food composition data are unavailable, botanical taxonomic classifications may be helpful in ascertaining the likely presence of flavonoids in foods. However, quantitative estimates are likely to be imprecise.

Piantelli M, Maggiano N, Ricci R, Larocca LM, Capelli A, Scambia G, Isola G, Natali PG, Ranelletti FO. Tamoxifen and quercetin interact with type II estrogen binding sites and inhibit the growth of human melanoma cells. J Invest Dermatol. 1995 Aug;105(2):248-253.
Abstract: The mechanism of the antiproliferative activity of tamoxifen on melanoma cells in vitro and in vivo is poorly understood, as it is not mediated by the antiestrogenic properties of tamoxifen. Using a whole-cell assay and nuclear and cytosolic radio-binding experiments with [3H]-estradiol as tracer, we found that MNT1, M10, and M14 melanoma cell lines as well as primary tumors expressed type II estrogen binding sites that bind tamoxifen and the flavonoid quercetin with similar affinity (KD 10-25 nM). Cell count and clonogenic assay showed both compounds to inhibit melanoma cell growth in a concentration-dependent manner in the range of concentrations between 1 nM and 1 microM. Neither the pure antiestrogen ICI-182780 nor the 3-rhamnosylglucoside of quercetin, rutin, bound to type II estrogen binding sites or inhibited cell growth. Our results suggesting that tamoxifen and quercetin can inhibit melanoma cell growth by interacting with type II estrogen binding sites help explain the reported effectiveness of tamoxifen, particularly in estrogen-receptor-negative tumors, and stress the potential role of quercetin in the treatment of melanoma.

Pronsky Z. Powers and Moore's Food-Medications Interactions. Ninth Edition. Food-Medication Interactions. Pottstown, PA, 1991, 60.

Rao CN, et al. Bioflavonoid-mediated stabilization of collagen in adjuvant-induced arthritis. Scand J Rheumatol. 1983;12(1):39-42.

Rao CN, et al. Influence of bioflavonoids on the metabolism and crosslinking of collagen. Ital J Biochem. 1981 Jul-Aug;30(4):259-70.

Rao CN, et al. Influence of bioflavonoids on lysosomal acid hydrolases and lysosomal stability. Ital J Biochem. 1981 Jan-Feb;30(1):46-53.

Robert J. Multidrug resistance in oncology: diagnostic and therapeutic approaches. Eur J Clin Invest. 1999 Jun;29(6):536-545. (Review)

Robinson C, Weigly E. Basic Nutrition and Diet Therapy. New York: MacMillan, 1984.

Roe DA. Drug-induced Nutritional Deficiencies. 2nd ed. Westport, CT: Avi Publishing, 1985.

Roe DA. Risk factors in drug-induced nutritional deficiencies. In: Roe DA, Campbell T, eds. Drugs and Nutrients: The Interactive Effects. New York: Marcel Decker, 1984: 505-523.

Sadzuka Y, Sugiyama T. Modulation of cancer chemotherapy by green tea. Clin Cancer Res. 1998 Jan;4(1):153-6.
Abstract: Theanine is a peculiar amino acid existing in green tea leaves, which was previously indicated to enhance the antitumor activity of doxorubicin. In the present study, the effect of combination of theanine with doxorubicin against hepatic metastasis of M5076 ovarian sarcoma was investigated. The primary tumor was significantly reduced by the combined treatment on M5076 transplanted (s.c.) mice. The liver weight of control mice increased to twice the normal level because of hepatic metastasis of M5076. In contrast, the injection of doxorubicin alone or theanine plus doxorubicin suppressed the increase in liver weight and inhibited hepatic metastasis. Moreover, the liver weights and metastasis scores demonstrated that theanine enhanced the inhibition of hepatic metastasis induced by doxorubicin. Furthermore, in vitro experiments indicated that theanine increased the intracellular concentration of doxorubicin remaining in M5076 cells. This action suggests that theanine leads the enhancement of the suppressive efficacy of doxorubicin on hepatic metastasis in vivo. Therefore, it was proved that theanine increased not only the antitumor activity on primary tumor but also the metastasis-suppressive efficacy of doxorubicin. The effect of theanine on the efficacy of antitumor agents is expected to be applicable in clinical cancer chemotherapy.

Sadzuka Y, Sugiyama T. The effects of theanine, as a novel biochemical modulator, on the antitumor activity of adriamycin. Cancer Lett. 1996 Aug 2;105(2):203-209.

Saito D, Shirai A, Matsushima T, et al. Test of carcinogenicity of quercetin, a widely distributed mutagen in food. Teratog Carcinog Mutagen 1980;1:213-221.

Scambia G, Ranelletti FO, Benedetti Panici P, Piantelli M, Bonanno G, De Vincenzo R, Ferrandina G, Maggiano N, Capelli A, Mancuso S. Inhibitory effect of quercetin on primary ovarian and endometrial cancers and synergistic activity with cis-diamminedichloroplatinum (II). Gynecol Oncol. 1992 Apr;45(1):13-19.

Scambia G, Ranelletti FO, Panici PB, De Vincenzo R, Bonanno G, Ferrandina G, Piantelli M, Bussa S, Rumi C, Cianfriglia M, et al. Quercetin potentiates the effect of adriamycin in a multidrug-resistant MCF-7 human breast-cancer cell line: P-glycoprotein as a possible target. Cancer Chemother Pharmacol. 1994;34(6):459-464.

Schubert W, Eriksson U, Edgar B, Cullberg G, Hedner T. Flavonoids in grapefruit juice inhibit the in vitro hepatic metabolism of 17 beta-estradiol. Eur J Drug Metab Pharmacokinet 1995 Jul-Sep;20(3):219-224.
Abstract: Naringenin, quercetin and kaempferol, which may be found in glycoside form in natural compounds such as grapefruit, are potent inhibitors of cytochrome P-450 metabolism. The influence of these flavonoids on the metabolism of 17 beta-estradiol was investigated in a microsome preparation from human liver. The flavonoids were added in concentrations of 10, 50, 100, 250 and 500 mumol/l to the microsome preparation. The metabolism of 17 beta-estradiol was concentration dependently inhibited by all the flavonoids tested. Addition of the flavonoids to the microsome preparation did not influence estrone formation, while a potent inhibition of estriol formation was observed. At the highest concentrations tested of the respective flavonoid, there was approximately 75-85% inhibition of estriol formation. However, naringenin was a less potent inhibitor of 17 beta-estradiol metabolism as compared to quercetin and kaempferol. The most likely mechanism of action of the flavonoids on 17 beta-estradiol metabolism is inhibition of the cytochrome P-450 IIIA4 enzyme, which catalyzes the reversible hydroxylation of 17 beta-estradiol into estrone and further into estriol. These hydroxylation processes represent the predominant steps of the hepatic metabolic conversion of endogenous as well as exogenous 17 beta-estradiol. This interaction would be expected to inhibit the first-pass metabolism of 17 beta-estradiol, and this has recently been demonstrated after oral administration of 17 beta-estradiol to women.

Schwartz JA, Liu G, Brooks SC. Genistein-mediated attenuation of tamoxifen-induced antagonism from estrogen receptor-regulated genes. Biochem Biophys Res Commun. 1998 Dec 9;253(1):38-43.
Abstract: In this study we demonstrate that physiologic concentrations of genistein are sufficient to mediate agonism and to reverse the repressive effects of 4-hydroxytamoxifen on estrogen receptor (ER alpha)-responsive reporter genes. We also show that overexpression of the steroid receptor coactivator (SRC-1) potentiates transactivation by genistein-activated ER alpha and that coexpression of CBP (the cAMP response element binding protein coactivator) synergistically increases this signal. Exogenous expression of a nuclear receptor corepressor (NCoR) was, however, unable to alter genistein-mediated transactivation. In in vitro binding assays, we show that genistein, but not 4-hydroxytamoxifen, induces a direct interaction between radiolabeled ER alpha and a GST-SRC-1 fusion protein. More importantly, coincubation with genistein and 4-hydroxytamoxifen or genistein treatment following preincubation of the ER with 4-hydroxytamoxifen also resulted in a strong physical interaction with SRC-1. These findings imply that genistein-induced shifts in the coregulator status of ER alpha may be involved in transcriptional regulation and suggest that tamoxifen-mediated antagonism at ER-dependent genes is sensitive to attenuation by low levels of genistein.

So FV, Guthrie N, Chambers AF, et al. Inhibition of human breast cancer cell proliferation and delay of mammary tumorigenesis by flavonoids and citrus juices. Nutr Cancer 1996;26:167-81.

Stavric B. Quercetin in our diet: from potent mutagen to probable anticarcinogen. Clin Biochem 1994 Aug;27(4):245-248. (Review)

Sugiyama T, Sadzuka Y. Membrane transport and antitumor activity of pirarubicin, and comparison with those of doxorubicin. Jpn J Cancer Res. 1999 Jul;90(7):775-780.

Sugiyama T, Sadzuka Y. Combination of theanine with doxorubicin inhibits hepatic metastasis of M5076 ovarian sarcoma. Clin Cancer Res. 1999 Feb;5(2):413-416.
Abstract: Theanine is a peculiar amino acid existing in green tea leaves, which was previously indicated to enhance the antitumor activity of doxorubicin. In the present study, the effect of combination of theanine with doxorubicin against hepatic metastasis of M5076 ovarian sarcoma was investigated. The primary tumor was significantly reduced by the combined treatment on M5076 transplanted (s.c.) mice. The liver weight of control mice increased to twice the normal level because of hepatic metastasis of M5076. In contrast, the injection of doxorubicin alone or theanine plus doxorubicin suppressed the increase in liver weight and inhibited hepatic metastasis. Moreover, the liver weights and metastasis scores demonstrated that theanine enhanced the inhibition of hepatic metastasis induced by doxorubicin. Furthermore, in vitro experiments indicated that theanine increased the intracellular concentration of doxorubicin remaining in M5076 cells. This action suggests that theanine leads the enhancement of the suppressive efficacy of doxorubicin on hepatic metastasis in vivo. Therefore, it was proved that theanine increased not only the antitumor activity on primary tumor but also the metastasis-suppressive efficacy of doxorubicin. The effect of theanine on the efficacy of antitumor agents is expected to be applicable in clinical cancer chemotherapy.

Sugiyama T, Sadzuka Y. Enhancing effects of green tea components on the antitumor activity of adriamycin against M5076 ovarian sarcoma. Cancer Lett. 1998 Nov 13;133(1):19-26.
Abstract: We have investigated the combined treatment of components of green tea with adriamycin against M5076 ovarian sarcoma, which exhibits low sensitivity to adriamycin. In M5076 tumor-bearing mice, the injection of adriamycin alone did not inhibit tumor growth, whereas the combination of theanine and adriamycin significantly reduced the tumor weight to 62% of the control level. When combined with theanine, effective antitumor activity of adriamycin was observed without an increase in the dosage. Theanine specifically increased the adriamycin concentration in the tumor by 2.7-fold. In contrast, theanine decreased the adriamycin concentrations in normal tissues. On the other hand, in vitro experiments proved that theanine inhibited the efflux of adriamycin from tumor cells, suggesting a theanine-induced increase in the adriamycin concentration in such tumors in vivo. Furthermore, the oral administration of theanine or green tea similarly enhanced the antitumor activity of adriamycin. In conclusion, the combination of theanine with adriamycin showed antitumor efficacy in spite of the non-effective dose of adriamycin on M5076 ovarian sarcoma. We have found that the modulating action of theanine is useful in clinical cancer chemotherapy.

van Rijn J, van den Berg J. Flavonoids as enhancers of x-ray-induced cell damage in hepatoma cells. Clin Cancer Res. 1997 Oct;3(10):1775-1779.
Abstract: The nuclear enzyme topoisomerase II, which is involved in replication, transcription, and probably repair of DNA, can be inhibited by a number of flavonoids. In conjunction with X-rays, three of these compounds were tested as to their effects on Reuber H35 hepatoma cells. In this combination, the isoflavone genistein, the flavone apigenin, and the flavonol quercetin caused an enhancement of radiation-induced cell death. This enhanced cytotoxicity was only observed when the flavonoids were applied following an irradiation treatment and is attributed to decreased repair of DNA radiation damage with a concomitant reduction of the rate of cell repopulation. Fractionated irradiations, given as five sequences of 3 Gy each over a period of 5 days, reduced the surviving cell population only by a factor of 20, whereas the continuous presence of genistein during radiation sequences resulted in a reduction of at least a factor of 10,000. Thus, these flavonoids not only seem to act as radiation enhancers but also exhibit potential antitumor activities.

Versantvoort CH, et al. On the relationship between the probenecid-sensitive transport of daunorubicin or calcein and the glutathione status of cells overexpressing the multidrug resistance-associated protein (MRP). Int J Cancer. 1995 Dec 11;63(6):855-862.

Versantvoort CH, et al. Competitive inhibition by genistein and ATP dependence of daunorubicin transport in intact MRP overexpressing human small cell lung cancer cells. Biochem Pharmacol. 1994 Sep 15;48(6):1129-1136.

Versantvoort CH, Schuurhuis GJ, Pinedo HM, Eekman CA, Kuiper CM, Lankelma J, Broxterman HJ. Genistein modulates the decreased drug accumulation in non-P-glycoprotein mediated multidrug resistant tumour cells. Br J Cancer. 1993 Nov;68(5):939-946.
Abstract: In tumour cells the pharmacological basis for multidrug resistance (MDR) often appears to be a reduced cellular cytostatic drug accumulation caused by the drug efflux protein, P-glycoprotein (Pgp MDR), or by other drug transporters (non-Pgp MDR). Here we report the reversal of the decreased daunorubicin (DNR) accumulation in five non-Pgp MDR cell lines (GLC4/ADR, SW-1573/2R120, HT1080/DR4, MCF7/Mitox and HL60/ADR) by genistein. Genistein inhibited the enhanced DNR efflux in the GLC4/ADR cells. In these cells the decreased VP-16 accumulation was also reversed by genistein. Three other (iso)flavonoids biochanin A, apigenin and quercetin also increased the DNR accumulation in the GLC4/ADR cells. In contrast to the effects on non-Pgp MDR cells, 200 microM genistein did not increase the reduced DNR accumulation in three Pgp MDR cell lines (SW-1573/2R160, MCF7/DOX40 and KB8-5) or in the parental cell lines. In conclusion the use of genistein provides a means to probe non-Pgp related drug accumulation defects.

Vinson JA, Bose P. Comparative bioavailability to humans of ascorbic acid alone or in a citrus extract. Am J Clin Nutr 1988 Sep;48(3):601-604.
Abstract: This study was performed to determine whether synthetic ascorbic acid (AA) alone or in a natural citrus extract containing bioflavonoids, proteins, and carbohydrates was more bioavailable to human subjects. The effect of a single 500-mg ascorbate dose of the two forms and a placebo citrus extract on plasma ascorbate was examined in eight fasting subjects. A comparison of the areas under the plasma concentration-time curves showed that the citrus extract was 35% more absorbed than AA (p less than 0.001) and was more slowly absorbed than AA (p less than 0.001). In six ascorbate-saturated male subjects the ascorbate in the citrus extract produced a greater ascorbate excretion than AA alone in 24-h post-dose urine (p less than 0.05). Citrus extract ascorbate was less excreted than AA (p less than 0.05) in 12 nonsaturated subjects. Ascorbate in the citrus extract was found to be more bioavailable than AA alone in human subjects.

Vinson JA, Bose P. Comparative bioavailability of synthetic and natural vitamin C in Guinea pigs. Nutr Rep Intl 1983;27 (4):875.

Werbach MR. Foundations of Nutritional Medicine. Tarzana, CA: Third Line Press, 1997. (Review).

Zi X, Agarwal R. Modulation of mitogen-activated protein kinase activation and cell cycle regulators by the potent skin cancer preventive agent silymarin. Biochem Biophys Res Commun. 1999 Sep 24;263(2):528-536.

Zi X, Agarwal R. Silibinin decreases prostate-specific antigen with cell growth inhibition via G1 arrest, leading to differentiation of prostate carcinoma cells: implications for prostate cancer intervention. Proc Natl Acad Sci U S A. 1999 Jun 22;96(13):7490-7945.
Abstract: Reduction in serum prostate-specific antigen (PSA) levels has been proposed as an endpoint biomarker for hormone-refractory human prostate cancer intervention. We examined whether a flavonoid antioxidant silibinin (an active constituent of milk thistle) decreases PSA levels in hormone-refractory human prostate carcinoma LNCaP cells and whether this effect has biological relevance. Silibinin treatment of cells grown in serum resulted in a significant decrease in both intracellular and secreted forms of PSA concomitant with a highly significant to complete inhibition of cell growth via a G1 arrest in cell cycle progression. Treatment of cells grown in charcoal-stripped serum and 5alpha-dihydrotestosterone showed that the observed effects of silibinin are those involving androgen-stimulated PSA expression and cell growth. Silibinin-induced G1 arrest was associated with a marked decrease in the kinase activity of cyclin-dependent kinases (CDKs) and associated cyclins because of a highly significant decrease in cyclin D1, CDK4, and CDK6 levels and an induction of Cip1/p21 and Kip1/p27 followed by their increased binding with CDK2. Silibinin treatment of cells did not result in apoptosis and changes in p53 and bcl2, suggesting that the observed increase in Cip1/p21 is a p53-independent effect that does not lead to an apoptotic cell death pathway. Conversely, silibinin treatment resulted in a significant neuroendocrine differentiation of LNCaP cells as an alternative pathway after Cip1/p21 induction and G1 arrest. Together, these results suggest that silibinin could be a useful agent for the intervention of hormone-refractory human prostate cancer.